Die Dirac-Gleichung ist eine grundlegende Gleichung der relativistischen Quantenmechanik. Sie beschreibt die Eigenschaften und das Verhalten eines fundamentalen Fermions mit Spin 1/2 (zum Beispiel Elektron, Quark). Sie wurde 1928 von Paul Dirac entwickelt und erfüllt im Gegensatz zur Schrödingergleichung die Anforderungen der speziellen Relativitätstheorie.
Die Dirac-Gleichung ist eine partielle Differentialgleichung erster Ordnung sowohl in den drei Raumkoordinaten als auch in der Zeit, im Einklang mit der von der speziellen Relativitätstheorie geforderten Invarianz unter Lorentz-Transformationen. Im nichtrelativistischen Grenzfall () geht sie in die Pauli-Gleichung über, die im Gegensatz zur Schrödingergleichung noch die Spin-Bahn-Kopplung und weitere Terme enthält. Jede Lösung der Dirac-Gleichung entspricht einem möglichen Zustand des betreffenden Teilchens, mit der Besonderheit, dass zur Darstellung dieses Zustands vier räumliche Wellenfunktionen nötig sind (s. Dirac-Spinor), statt zwei in der nichtrelativistischen Theorie mit Spin oder einer einzigen im Fall von spinlosen Teilchen. Für die von der Dirac-Gleichung beschriebenen Teilchen gilt:
- Für ein freies Teilchen ist die relativistische Energie-Impuls-Beziehung erfüllt.
- Für ein Teilchen im elektrostatischen Feld einer Punktladung ergibt sich das Wasserstoffspektrum mit seiner Feinstruktur.
- Das Teilchen hat einen Eigendrehimpuls (Spin), der die Quantenzahl 1/2 hat und – weil dies in der klassischen Physik nicht vorkommt – nicht wie bei einem Kreisel auf die Rotation einer Massenverteilung zurückgehen kann.
- Trägt das Teilchen eine elektrische Ladung, so ist mit dem Spin stets auch ein magnetisches Dipolmoment verknüpft (→ Spinmagnetismus). Im Vergleich mit dem magnetischen Dipol, den das Teilchen durch eine Rotationsbewegung bei gleich großem Drehimpuls hervorrufen würde (→ orbitaler Magnetismus), hat das mit dem Spin verbundene Moment die doppelte Stärke (s. Anomales magnetisches Moment des Elektrons).
- Zu dem Teilchen existiert ein Antiteilchen (zum Elektron also ein sog. Positron) mit derselben Masse und demselben Spin, aber mit entgegengesetzter Ladung und magnetischem Moment.
Alle genannten Eigenschaften entsprechen den experimentellen Befunden. Zur Zeit der Entdeckung der Dirac-Gleichung 1928 waren die vier erstgenannten schon bekannt, nicht aber ihre gemeinsame Grundlage. Die letztgenannte Eigenschaft wurde durch die Dirac-Gleichung vorhergesagt, und der erste Nachweis eines Antiteilchens gelang 1932 Carl David Anderson (s. Positron).
Der in der Diracgleichung vorkommende Differentialoperator spielt auch in der Mathematik (Differentialgeometrie) eine große Rolle (Dirac-Operator).
Dirac-Gleichung eines ungeladenen Teilchens
Die Dirac-Gleichung ist ein System von vier gekoppelten partiellen Differentialgleichungen für die vier Komponentenfunktionen des Dirac-Spinors . Die Variable steht hier für worin der obere Index 0 die Zeit und die Indizes 1 bis 3 die Ortskoordinaten bezeichnen.
In natürlichen Maßeinheiten mit lautet die Dirac-Gleichung für ein ungeladenes Teilchen der Masse
Der Ausdruck in eckigen Klammern ist die Standardform eines Dirac-Operators.
Die konstanten Gamma- oder Dirac-Matrizen und wirken im Raum der vier Komponenten des Spinors und koppeln sie aneinander. Die Produkte von zwei Gamma-Matrizen haben die folgenden Eigenschaften:
Damit bilden sie eine Clifford- oder Dirac-Algebra. Wird der Dirac-Operator
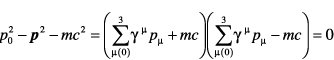
auf beide Seiten der Dirac-Gleichung angewandt, entkoppeln die vier Differentialgleichungen und man erhält für jede Komponente von die Klein-Gordon-Gleichung:
Die zweimalige Anwendung eines Dirac-Operators führt also auf die Klein-Gordon-Gleichung, weshalb die Dirac-Gleichung auch als die „Wurzel“ aus der Klein-Gordon-Gleichung angesehen wird. Für ein Teilchen in einem Impulseigenzustand ergibt die Klein-Gordon-Gleichung (in der Reihenfolge ihrer Terme) , also die relativistische Energie-Impuls-Beziehung eines Teilchens der Masse
Jede irreduzible Darstellung der Dirac-Algebra besteht aus -Matrizen. In der Standard- oder Dirac-Darstellung haben sie die folgende Form (verschwindende Matrixelemente mit Wert Null sind dabei nicht angeschrieben):
Die beiden ersten Komponenten von bilden also die zweikomponentige Einheitsmatrix, die beiden letzten Komponenten deren Negatives. Analog ergeben die beiden oberen Komponenten der zweiten, dritten bzw. vierten -Matrix die drei 2×2-Pauli-Matrizen und die beiden letzten Komponenten von deren Negatives. Letztere gehen im nichtrelativistischen Grenzfall wie gegen Null. Damit eignet sich diese Darstellung, die Standarddarstellung, besonders für die Behandlung langsam bewegter Elektronen. In der dazu mathematisch und physikalisch äquivalenten Weyl-Darstellung ist das Spinor-Transformationsverhalten bei Lorentztransformationen besonders einfach, in der ebenfalls äquivalenten Majorana-Darstellung ist die Dirac-Gleichung ein reelles Gleichungssystem. Weitere Darstellungen erhält man durch Äquivalenztransformationen.
Die vier Gamma-Matrizen lassen sich in symbolischer Schreibweise zu dem kontravarianten 4-Vektor
zusammenfassen. Dann hat der erste Term der Dirac-Gleichung die Form eines Skalarprodukts der Vektoren und . Dieses ist bei Lorentztransformation jedoch nicht invariant, denn bleibt konstant. Die Lorentzinvarianz der Dirac-Theorie ergibt sich erst dadurch, dass der Dirac-Operator auf einen Spinor wirkt, dessen vier Komponenten geeignet mittransformiert werden. Im Endergebnis geht damit eine Lösung der Dirac-Gleichung durch Lorentztransformation in eine Lösung der entsprechend transformierten Dirac-Gleichung über.
Impulsraum und Slash-Notation
Neben der eben beschriebenen Form im Ortsraum kann die Dirac-Gleichung auch im Impulsraum aufgeschrieben werden. Sie lautet dann
wobei zur Abkürzung die einsteinsche Summenkonvention benutzt wurde (die besagt, dass über gleiche Indizes summiert wird). In der noch weiter vereinfachten Feynman-Slash-Notation wird das Skalarprodukt mit den Gamma-Matrizen durch ein Slash-Symbol ausgedrückt. Es ergibt sich im Ortsraum
und im Impulsraum gilt
Eichinvarianz und elektromagnetische Wechselwirkung
Wenn die Dirac-Gleichung löst, dann löst auch der mit einer Phase multiplizierte Spinor die Dirac-Gleichung. Da alle physikalisch messbaren Größen mit jedem Faktor auch den konjugiert komplexen Faktor enthalten, sind sie und die Dirac-Gleichung invariant unter dieser Phasentransformation des Dirac-Spinors .
Bei nichtkonstantem ergibt das eine zusätzliche U(1)-Eichinvarianz, und die partiellen Ableitungen müssen durch sog. kovariante Ableitungen ersetzt werden: Aus der Forderung der Invarianz unter allen Phasentransformationen, bei denen die Phase stetig-differenzierbar von Zeit und Ort abhängt,
- ,
ergibt sich die Notwendigkeit, die partiellen Ableitungen in der Dirac-Gleichung durch die kovariante Ableitung zu ersetzen:
- .
Die hier auftretenden vier Funktionen bilden in der Physik das sog. Viererpotential oder Eichfeld. Mathematisch handelt es sich um eine Konnexion oder einen Zusammenhang. Definiert man das transformierte Eichfeld durch
- ,
dann löst die Dirac-Gleichung mit dem Eichfeld
oder in Slash-Notation
genau dann, wenn der transformierte Dirac-Spinor die Dirac-Gleichung mit dem transformierten Eichfeld erfüllt. Transformationen, deren Parameter so wie hier die Phase beliebig von Zeit und Ort abhängen dürfen, heißen in der Physik lokale Eichtransformationen.
Bei dem Eichfeld handelt es sich um das skalare Potential und das Vektorpotential der Elektrodynamik,
- .
Wenn man sie wie angegeben transformiert, bleiben die elektrische und magnetische Feldstärke
und alle anderen messbaren Größen unverändert.
Die Dirac-Gleichung mit kovarianter Ableitung und die Elektrodynamik sind invariant unter beliebigen zeit- und ortsabhängigen Transformationen der Phase des Dirac-Spinors. Der Parameter in der kovarianten Ableitung bestimmt die Stärke der Ankopplung der elektromagnetischen Potentiale an den Dirac-Spinor. Er entspricht dabei genau der elektrischen Ladung des Teilchens.
Die Ersetzung der partiellen Ableitungen in der Dirac-Gleichung durch eine kovariante Ableitung koppelt die elektromagnetischen Potentiale an den Dirac-Spinor. Man spricht dabei von sog. minimaler Kopplung im Gegensatz zu einem Kopplungsterm wie „magnetische Feldstärke mal Dirac-Spinor“, der auch eichinvariant wäre, aber nicht zur Ergänzung einer Ableitung zu einer kovarianten Ableitung erforderlich ist.
Schrödingerform
Nach Multiplikation mit kann man wegen in der Dirac-Gleichung nach der Zeitableitung auflösen und die Dirac-Gleichung in die Form einer Schrödinger-Gleichung bringen,
Die hier auftretenden 4×4-Matrizen, die leicht von den entsprechenden -Matrizen verschieden sind, lassen sich ebenfalls kompakt mit Hilfe der Pauli-Matrizen durch Blöcke von 2×2-Matrizen beschreiben:
Der Differentialoperator auf der rechten Seite der Schrödinger-Gleichung ist der zur Dirac-Gleichung gehörige Hamiltonoperator Die möglichen Energien des Teilchens sind Eigenwerte dieses Hamiltonoperators.
Dabei zeigt die mathematische Untersuchung im Fall eines ungeladenen Teilchens (), dass das Spektrum positive und negative Werte enthält, ebenso wie man aus der Energie-Impuls-Relation der Klein-Gordon-Gleichung (in natürlichen Maßeinheiten mit ) die positiven und negativen Energiewerte erhält.
Da Teilchen mit negativer Energie nie beobachtet wurden und da eine Welt mit Teilchen, deren Energien nach oben und nach unten unbeschränkt ist, instabil wäre, postulierte Dirac, dass das Vakuum ein Dirac-See sei, in dem jeder denkbare Zustand negativer Energie schon besetzt sei, sodass weitere Elektronen nur positive Energien annehmen könnten. Füge man diesem Dirac-See genügend Energie, mindestens die Ruheenergie zweier Elektronen, hinzu, so könne man einem See-Elektron positive Energie verleihen und das entstehende Loch verhielte sich wie ein Zustand mit der restlichen, ebenfalls positiven Energie und der fehlenden, entgegengesetzten Ladung. So sagte Dirac die Existenz von Antiteilchen und die Paarerzeugung von Elektron-Positron-Paaren voraus, die ein Jahr später beobachtet wurden.
Die Vorstellung eines Dirac-Sees gilt allerdings heute als unhaltbar und ist durch die Feynman-Stückelberg-Interpretation ersetzt. Sie deutet die Dirac-Gleichung als Gleichung für ein Quantenfeld , das ist mathematisch ein Operator, der in den quantenmechanischen Zuständen Teilchen oder Antiteilchen erzeugt oder vernichtet. Die Erzeugung und Vernichtung von Teilchen während der Wechselwirkung des Elektrons mit dem Proton führt in der Quantenelektrodynamik zu einer kleinen Verschiebung der Energien verschiedener Zustände des Wasserstoffatoms, die ohne diese Erzeugungs- und Vernichtungsvorgänge gleiche Energie hätten. Die berechnete Größe dieser Lamb-Verschiebung stimmt innerhalb der Messgenauigkeit von sechs Stellen mit dem gemessenen Wert überein.
Die Erzeugung und Vernichtung von Teilchen während der Wechselwirkung des Elektrons mit einem Magnetfeld ändert auch den Dirac-Wert des gyromagnetischen Faktors. Sie bewirkt ein sogenanntes anomales magnetisches Moment, von dem man auch als g-2-Anomalie spricht. Der in der Quantenelektrodynamik berechnete Wert von stimmt mit dem gemessenen Wert auf zehn Dezimalstellen überein.
Herleitung des gyromagnetischen Faktors
Ausgehend von der Schrödingerform der Dirac-Gleichung für ein Teilchen im elektromagnetischen Feld wird der Dirac-Spinor in zwei Zweierspinoren aufgespalten.
- mit
Unter der Annahme, dass sich das Teilchen nur langsam bewegt, sodass seine Energie nur wenig größer als seine Ruheenergie ist, kann die schnelle Zeitentwicklung, die von der Ruheenergie herrührt, abgespalten werden:
Aus diesem Ansatz folgt:
In der zweiten Zeile sind nach Annahme sowohl die Zeitableitung als auch die kinetischen Energien und die elektrostatische Energie klein gegenüber der Ruheenergie . Daher ist klein gegen und ungefähr gleich
- .
In die erste Zeile eingesetzt ergibt sich:
Für das Produkt der Pauli-Matrizen erhält man
Der Spinor genügt daher der Pauli-Gleichung mit dem nichtklassischen Wert
Dabei sind die Komponenten des Spin-Operators.
Im homogenen Magnetfeld gilt und mit
wenn man Terme vernachlässigt, die quadratisch in sind. Dann besagt die Pauli-Gleichung
Das Magnetfeld koppelt folglich nicht nur an den Bahndrehimpuls und trägt nicht nur zur Energie bei. Der Faktor ist das Magneton des Teilchens. In Drehimpulseigenzuständen ist ein ganzzahliges Vielfaches der Magnetfeldstärke . Dagegen ergibt ein halbzahliges Vielfaches, das erst nach Multiplikation mit ganzzahlig wird.
Realisierungen in Hochenergie- und Festkörperphysik
Die Dirac-Gleichung bildet (nach Quantisierung des zugehörigen klassischen Feldes) die Grundlage der relativistischen Quantenfeldtheorien der Hochenergiephysik. Erst seit wenigen Jahren weiß man, dass auch bei nichtrelativistischen Energien Realisierungen existieren, nämlich bei Graphenen, das sind Schichtsysteme, die mit Graphit zusammenhängen. Und zwar braucht man hier nur den Grenzwert verschwindender Masse (sog. chiraler Limes) zu betrachten, und es ist zusätzlich die Lichtgeschwindigkeit durch die Grenzgeschwindigkeit des Elektronensystems, die sog. Fermi-Geschwindigkeit zu ersetzen. Als Konsequenz sind bei diesem System Energie und Impuls zueinander proportional (), während sonst bei nichtrelativistischen Elektronen gilt. Darüber hinaus ergeben sich zahlreiche weitere Besonderheiten.
Siehe auch
- Nichtlineare Dirac-Gleichung
- Dirac–Kähler-Gleichung
Literatur
Artikel
- P. A. M. Dirac: The Quantum Theory of the Electron. In: Proceedings of the Royal Society of London. Series A. Band 117, Nr. 778, 1. Januar 1928, S. 610–624, doi:10.1098/rspa.1928.0023.
- P. A. M. Dirac: The Quantum Theory of the Electron. Part II. In: Royal Society of London Proceedings Series A. Band 118, 1. Februar 1928, S. 351–361.
- P. A. M. Dirac: A Theory of Electrons and Protons. In: Proceedings of the Royal Society of London. Series A, Containing Papers of a Mathematical and Physical Character. Band 126, Nr. 801, 1930, S. 360–365, JSTOR:95359.
- Carl D. Anderson: The Positive Electron. In: Physical Review. Band 43, Nr. 6, 15. Februar 1933, S. 491–494, doi:10.1103/PhysRev.43.491.
Bücher
- James Bjorken, Sidney Drell: Relativistische Quantenmechanik. Mannheim, Bibliographisches Institut, 1990. (BI Hochschultaschenbücher; 98/98a), ISBN 3-411-00098-8.
Engl. Originalausgabe: Relativistic Quantum Mechanics. McGraw-Hill, New York 1964, ISBN 0-07-005493-2. - James Bjorken, Sidney Drell: Relativistische Quantenfeldtheorie. (Dt. Übers.: J. Benecke, D. Maison, E. Riedel).
Unveränd. Nachdruck: Mannheim, Zürich. BI-Wissenschaftsverlag, 1993. BI-Hochschultaschenbuch; 101, ISBN 3-411-00101-1.
Engl. Originalausgabe: Relativistic Quantum Fields. McGraw-Hill, New York 1965, ISBN 0-07-005494-0. - R. P. Feynman: Quantenelektrodynamik. 4. Auflage, ISBN 3-486-24337-3.
- Walter Greiner: Relativistische Quantenmechanik. Wellengleichungen. Band 6, ISBN 3-8171-1022-7.
- Franz Schwabl: Quantenmechanik für Fortgeschrittene (QM II). ISBN 978-3-540-25904-6.
Einzelnachweise und Fußnoten




